Why Heavy Duty Applications Prefer Diesel Engines over Gasoline (Petrol) Engine
Gasoline (petrol) engines are more efficient and powerful than a same sized diesel engine operating on the same compression ratio. Yet, heavy duty applications prefer diesels. Here’s why . . . .
MECHANICAL ENGINEERINGAUTOMOTIVE ENGINEERINGDIESEL ENGINEDIESEL CYCLEOTTO CYCLEPETROL ENGINEGASOLINE ENGINETHERMODYNAMICS
Indrajeet Yadav
5/15/20193 min read


Why do heavy duty applications prefer diesel engines over gasoline (petrol) ones despite the latter being more efficient and powerful than a diesel engine of the same size and operating on the same compression ratio?
Ships, railway engines (locomotives), large truck engines, colossal construction equipment, farm machinery, other heavy vehicles, home heating, generators . . . . . diesel engine is the solution for all heavy duty applications.
Compression Ratio is the volume of the engine cylinder when the piston is at the bottommost position, called bottom dead center (BDC), divided by cylinder volume when the piston is at the topmost position, the top dead center (TDC).
Well, the straightforward answer is this – diesel engines can use greater compression ratio than gasoline (petrol) engines because petrol starts knocking at elevated compression ratios. And, efficiency and power output of engines rises with increasing compression ratio.
Diesel engines commonly employ a 12 to 20 compression ratio, while petrol (gasoline) engines utilize one between 8 and 10. Heavy duty diesel engines are, therefore, in a better position to deliver.
Such capacity is among the significant advantages of diesel engines over gasoline (petrol) engines. This is also why peak pressures in diesel engines are greater than those in gasoline engines. Temperature sensors will also testify of the greater temperatures inside diesel engines.
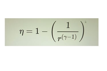
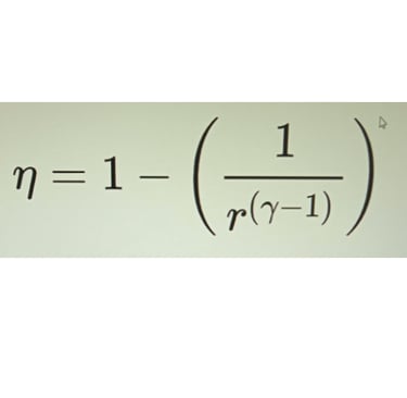
Petrol (gasoline) engines operate on the Otto Cycle as represented by the pressure-volume (PV) diagram in figure 1.
Otto Cycle efficiency is given by equation (1):
where
r is the compression ratio = V1 / V2
γ is the isentropic (reversible adiabatic) index
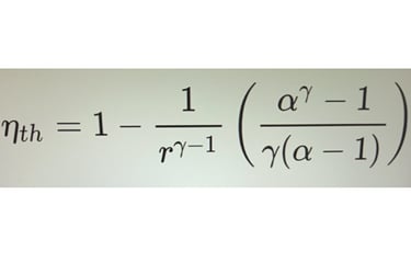
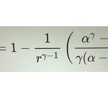
Diesel engines operate on the Diesel Cycle as represented by the PV diagram in figure 2.
Diesel Cycle efficiency is given by equation(2):
where
r is the compression ratio = V1 / V2
γ is the isentropic (reversible adiabatic) index
⍺ is the cut-off ratio = V3 / V2
Comparing equations 1 and 2, it is clear that gasoline (petrol) engines are more efficient and, therefore, deliver more power than a diesel engine for the same compression ratio.
However, higher compression ratios escalate internal engine temperature. Now, the chemical composition of petrol (gasoline) is such that it ignites more spontaneously than diesel at higher temperatures.
For optimum efficiency and power, gasoline (petrol) has to ignite slightly before the piston reaches the TDC. Plus, it has to be lighted by the controlled spark from the spark plug.
Uncontrolled combustion means that petrol (gasoline) burns before such required position. And the burning is a result of elevated temperatures, not due to the controlled spark.
Speaking of economics, diesel is cheaper than gasoline (petrol) in most countries across the world because it is easier to refine from crude oil.
Moreover, emission regulations have triggered tremendous improvements in diesel engines. Such upgrades have minimized emissions of carbon dioxide, NOX, and particulate matter from diesel engines.
For more such interesting and to-the-point content on Engineering and Academic topics, contact us at indrajeety1981@gmail.com or +91-98220-52945.
#DieselPower #HeavyDuty #EngineeringExcellence #MechanicalEngineering #FuelEfficiency






Credits Johannes Maximilian
Figure 1. Marine Diesel Engine: As Big as it Gets
Credits Markus Brinkmann
Figure 2. Pressure-Volume Diagram for Otto Cycle used by Petrol or Gasoline Engines
Strokes: 0-1: Suction, 1-2: Compression, 2-3: Power / Ignition, 3-4: Expansion, 4-1: Heat Rejection, 1-0: Exhaust
Credits Luc1991
Figure 3. Pressure-Volume Diagram for Diesel Cycle employed by Diesel Engines
Strokes: 1-2: Compression, 2-3: Ignition, 3-4: Expansion, 4-1: Exhaust
Credits Tokino & MaxDZ8




